AI - 人工智能
关于人工智能的定义, 光是在网络上搜索就有至少5种, 我的看法是, 人工智能就是通过机器学习算法, 在丰富的大量的数据集上进行训练学习,
从而让机器能够处理各种复杂任务, 表现出和人相似的”智能”.
我将介绍 感知机, 前馈神经网络(FNN), 卷积神经网络(CNN), 循环神经网络(RNN), 长短期记忆(LSTM),
并介绍神经网络基本的学习训练的流程和原理, 使用pytorch进行代码演示
数据集
假设我们的神经网络是y=f(x)这样的函数,
那么数据集就是存储了许多组历史数据的文件,其中每一组数据包含输入到函数中的特征属性值(x),
和这些x对应的目标属性值(y), 通过将这些数据放入神经网络, 神经网络从数据中提取出某种模式, 从而可以泛化到新数据上,
也就是说, 可以通过学习历史数据, 来获得可以预测目标值的能力. (这实际上和人脑的学习方式十分相似)
最基本的AI训练流程
流程
我们可以看到, 基本的ai训练流程就是:
- 准备数据集, 划分测试和训练集
 - 定义模型
 - 根据训练集进行训练
 - 用测试集测试模型
 
感知机
介绍
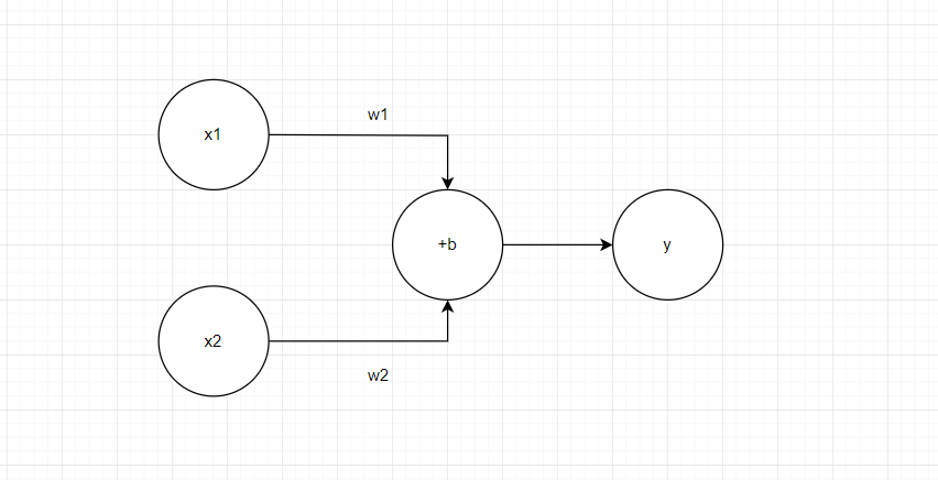
神经网络中每一层有多个始建于, 而每个神经元可以看作一个感知机,
感知机是一种二元线性分类器, 它接收多个输入信号,输出一个信号(0或1), 0表示不传递信号, 1表示传递信号(被激活)

用数学式子表达: y=(w1x1+w2x2+b >= θ) = 1, y=(w1x1+w2x2+b < θ) = 0
w是权重, 和x相乘, 表示对应x的重要程度, 越大则越重要
b是偏置, 用来调整神经元(即感知机)被激活的容易程度
θ是神经元被激活的临界点, 超过了就可以输出信号1, 否则输出0
感知机的问题
感知机可以做到